算法刷题【洛谷P4180 BJWC2010】严格次小生成树
2022-04-16
题目描述
小 C 最近学了很多最小生成树的算法,Prim 算法、Kruskal 算法、消圈算法等等。正当小 C 洋洋得意之时,小 P 又来泼小 C 冷水了。小 P 说,让小 C 求出一个无向图的次小生成树,而且这个次小生成树还得是严格次小的,也就是说:如果最小生成树选择的边集是 EM,严格次小生成树选择的边集是 ES,那么需要满足:(value(e) 表示边 e 的权值) ∑e∈EMvalue(e)<∑e∈ESvalue(e)
这下小 C 蒙了,他找到了你,希望你帮他解决这个问题。
输入格式
第一行包含两个整数 N 和 M,表示无向图的点数与边数。
接下来 M 行,每行 3 个数 x,y,z 表示,点 x 和点 y 之间有一条边,边的权值为 z。
输出格式
包含一行,仅一个数,表示严格次小生成树的边权和。
输入输出样例
In 1:
5 6
1 2 1
1 3 2
2 4 3
3 5 4
3 4 3
4 5 6Out 1:
11数据范围
数据中无向图不保证无自环
对于 50% 的数据, N≤2000,M≤3000。
对于 80% 的数据, N≤5×104,M≤105。
对于 100% 的数据, N≤105,M≤3×105,边权 ∈[0,109],数据保证必定存在严格次小生成树。
题解
写这道题之前首先让我们梳理一些易得的结论:
- 最小生成树可能不唯一
- 最小生成树中边的数量一定,为节点数 n−1
- 次小生成树的形态(即不考虑边权的情况下)可能和最小生成树相同或不同
由这两条结论我们可以发现一个最基本的思路——做这道题时我们需要先建出最小生成树,再去依次尝试删去一条边并加入一条原本不在最小生成树中的边,最后取权值和大于最小生成树的结果中最小的。这里的描述必须严谨,因为有可能出现多个权值和相等的最小生成树。
建最小生成树很简单,kruscal算法跑一遍就行了,但这次需要注意把没有用到的边记录下来,方便等会枚举尝试。
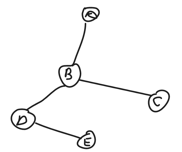
下面我们来谈谈,如果我拿到一条不在最小生成树中的边 e,那么我该怎么处理来求得生成的次小生成树的权值大小。首先,根据树的性质我们可以知道,e 的起点 e.from 和终点 e.to 两个点一定存在最近的公共父节点,画个图解释一下:

(画的不好请见谅)
如图,假设我们拿到的边 e 有起点 e.from=C,终点 e.to=E,显然 C 和 E 两个点的最近公共父节点是 B,而加上边 e 后形成了闭环 BDEC。
显然,如果我们加入边 e 后还要保证图为一棵生成树,那么要删去一条边,且这一条边能且只能是闭环 BDEC 中的边。这个结论显然,无需再证,在这里不能说服自己也不必较真。
根据最小生成树的性质,我们又知道,e 的边权一定大于或等于闭环中除此之外的任意一条边。那么既然我们要求次小生成树,加入边 e 后要删去的那条边一定就是闭环中除 e 之外的长度最长的那条边。
至此我们可以梳理建立最小生成树后的流程了:
- 枚举拿到不在最小生成树中的边 e
- 通过寻找 e 的起点和终点的最近公共父节点,求出加入 e 后图中出现的闭环
- 找到闭环中原本就存在的最大的一条边 emax,设最小生成树的权值和为 wsum,则建出的次小生成树权值和为 wsum−emax.w+e.w
写到这里博主要去写数学作业了还要上课,LCA相关内容下次有空补上!有人看的话记得催更
又臭又长的代码:
#include <bits/stdc++.h>
using namespace std;
const int N = 100001, M = 500001;
int ecnt, memcnt;
long long tot;
inline void read(int &a) {
a = 0;
char c = getchar();
while (c < '0' || c > '9') {
c = getchar();
}
while (c >= '0' && c <= '9') {
a = (a << 3) + (a << 1) + c - '0';
c = getchar();
}
}
class BCJ { // 供kruscal使用的并查集,建类可以更好地处理变量名
private:
int f[M];
public:
void init() {
for (int i = 0; i < M; i++) f[i] = i;
}
int find(int x) {
if (f[x] == x) return x;
return f[x] = find(f[x]);
}
void merge(int x, int y) {
x = find(x);
y = find(y);
f[y] = x;
}
} bcj;
struct Edge {
int from, to, w;
} edge[M], e[M]; // edge为所有边的信息,e为不在最小生成树中的边
bool cmp(Edge x, Edge y) {
// 对所有边进行sort排序以供kruscal算法使用
return x.w < y.w;
}
class Mem {
public:
struct POINT {
// 点的相关信息
int head, deep, fa[21];
long long max1[21], max2[21];
} p[N];
int size; // 边的数量
struct EDGE {
// 边的相关信息
int to, w, next;
} e[N * 2];
void init() {
size = 0;
for (int i = 0; i < N; i++) {
p[i].head = p[i].deep = 0;
memset(p[i].fa, 0, sizeof(p[i].fa));
memset(p[i].max1, 0, sizeof(p[i].max1));
memset(p[i].max2, LONG_LONG_MAX, sizeof(p[i].max2));
}
}
void add(Edge t) {
++size;
e[size].next = p[t.from].head;
e[size].to = t.to;
e[size].w = t.w;
p[t.from].head = size;
++size;
e[size].next = p[t.to].head;
e[size].to = t.from;
e[size].w = t.w;
p[t.to].head = size;
}
} mem;
void dfs(int cur, int fa) {
// 深度优先搜索,处理每个点的父节点信息和最大值信息
mem.p[cur].deep = mem.p[fa].deep + 1;
for (int i = 0; i <= 19; i++) {
mem.p[cur].fa[i + 1] = mem.p[mem.p[cur].fa[i]].fa[i];
mem.p[cur].max1[i + 1] =
max(mem.p[cur].max1[i], mem.p[mem.p[cur].fa[i]].max1[i]);
if (mem.p[cur].max1[i] == mem.p[mem.p[cur].fa[i]].max1[i])
mem.p[cur].max2[i + 1] =
max(mem.p[cur].max2[i], mem.p[mem.p[cur].fa[i]].max2[i]);
else if (mem.p[cur].max1[i] < mem.p[mem.p[cur].fa[i]].max1[i])
mem.p[cur].max2[i + 1] =
max(mem.p[cur].max1[i], mem.p[mem.p[cur].fa[i]].max2[i]);
else
mem.p[cur].max2[i + 1] =
max(mem.p[cur].max2[i], mem.p[mem.p[cur].fa[i]].max1[i]);
}
for (int i = mem.p[cur].head; i; i = mem.e[i].next) {
// 对所有子节点进行dfs处理
if (mem.e[i].to == fa) continue;
mem.p[mem.e[i].to].fa[0] = cur;
mem.p[mem.e[i].to].max1[0] = mem.e[i].w;
mem.p[mem.e[i].to].max2[0] = INT_MIN;
dfs(mem.e[i].to, cur);
}
}
int lca(int x, int y) {
// lca算法求两点的最近公共祖先
long long ans = 0;
if (mem.p[x].deep < mem.p[y].deep) swap(x, y);
for (int i = 20; i >= 0; i--) {
if (mem.p[mem.p[x].fa[i]].deep >= mem.p[y].deep) x = mem.p[x].fa[i];
if (x == y) return x;
}
for (int i = 20; i >= 0; i--) {
if (mem.p[x].fa[i] != mem.p[y].fa[i]) {
x = mem.p[x].fa[i];
y = mem.p[y].fa[i];
}
}
return mem.p[x].fa[0];
}
long long qmax(int x, int y, int w) {
// 求两点间的最大边
long long ans = LONG_LONG_MIN;
for (int i = 20; i >= 0; i--) {
if (mem.p[mem.p[x].fa[i]].deep >= mem.p[y].deep) {
if (w != mem.p[x].max1[i]) {
ans = max(ans, mem.p[x].max1[i]);
} else {
ans = max(ans, mem.p[x].max2[i]);
}
x = mem.p[x].fa[i];
}
}
return ans;
}
int main() {
bcj.init();
mem.init();
int n, m;
read(n);
read(m);
for (int i = 1; i <= m; i++) {
read(edge[i].from);
read(edge[i].to);
read(edge[i].w);
}
sort(edge + 1, edge + m + 1, cmp);
for (int i = 1; i <= m; i++) {
if (bcj.find(edge[i].from) != bcj.find(edge[i].to)) {
bcj.merge(edge[i].from, edge[i].to);
tot += edge[i].w;
mem.add(edge[i]);
} else {
// 记录未加入最小生成树的边
ecnt++;
e[ecnt] = edge[i];
}
}
long long ans = LONG_LONG_MAX;
dfs(1, 0);
for (int i = 1; i <= ecnt; i++) {
if (e[i].from == e[i].to) continue;
int t = lca(e[i].from, e[i].to);
long long res =
max(qmax(e[i].from, t, e[i].w), qmax(e[i].to, t, e[i].w));
if (res < 0) continue;
ans = min(ans, tot + e[i].w - res);
}
cout << ans << endl;
return 0;
}